«Спецкурс 1С 8.3» от Павла Чистова
Длительность курса: 61 урок различной продолжительности (от 30 до 90 минут).
Формат обучения: видеоролики для просмотра в любое свободное время.
Программа обучения: курс рассчитан на тех, кто уже работает с 1С. Слушателям даётся информация по созданию форм, групповой разработке конфигурации, механизмам расчёта, регистрам бухгалтерского учёта.
- отсутствие наглядности. Узнать, о чём будет очередной ролик, можно только после его запуска. Сопроводительная информация отсутствует;
- вся информация относится к 2018 году. Её можно принять в качестве базовой, но уточнить непонятные моменты у лектора не получится. Комментарии к роликам отключены.
«Программирование на C++» от Stepik

Длительность: 41 урок.
Формат обучения: видеозаписи, тесты, интерактивные задачи.
Программа обучения: курс рассчитан на студентов профильных вузов и начинающих программистов, которые уже знакомы с основами языка (функция, цикл, оператор).
Для успешного прохождения желательно хотя бы поверхностное владение синтаксисом одного из языков — C, Pascal, Java или Fortran.
В процессе обучения затрагиваются типичные ошибки, которые приводят к ухудшению читабельности кода и некорректной работе созданной программы.
Что узнаете:
- История и характеристики языка C++.
- Зачем нужно использование компилятора.
- Структура кода на C++.
- Основы синтаксиса.
- Принцип выполнения программ на C++.
- Основы и принципы ООП.
- Дополнительные возможности языка C++.
- Использование шаблонов.
Плюсы:
- Старт в удобное время.
- Тесты и задачи на предмет усвоения материала.
- Профессиональные преподаватели.
- Доступная подача материала.
Минусы:
Не подойдёт новичкам без базовых навыков и опыта.
💰 На правах рекламы. «Профессия Java-разработчик» от Skillbox 💰

Продолжительность курса: 9 месяцев = 240 уроков = 3-5 часов в неделю.

Программа обучения:
- Вводный модуль.
- Синтаксис языка.
- Система контроля версий Git.
- Объекты и классы.
- Числа, строки, даты.
- Массивы и коллекции.
- Наследование и полиморфизм.
- Особенности ООП в Java.
- Исключения, отладка, тестирование и логирование.
- Работа с файлами и сетью.
- Работа с MySQL в Java.
- Многопоточность.
- Разработка веб-приложений.
- Нереляционные базы данных и очереди.
- Производительность и оптимизация.
- Распределённые хранилища и вычисления.
- Универсальные знания программиста.
- Английский для IT-специалистов.
- Индивидуальный проект: блоговый движок.
- Командный проект: разработка соцсети.
- Готовое портфолио по окончании обучения
- Гарантированная помощь в трудоустройстве
- Упор на практику
- Доступ к курсу навсегда
- Бесплатная консультация для желающих начать обучение
- Преподаватели-эксперты — Даниил Пилипенко, программист с более чем 15-летним опытом работы, основатель и директор центра подбора IT-специалистов SymbioWay, и Михаил Овчинников, главный методист технического направления Skillbox, экс-сотрудник Badoo Development LLC (должность — ведущий инженер-программист)
«Курс PHP» от BeONmax

Кому подойдёт: тем, кто хочет обучиться PHP с нуля.
Длительность: 37 уроков и 69 заданий.
Сертификат: не выдаётся.
Формат обучения: интерактивные онлайн-вебинары, практические индивидуальные проекты и советы от специалистов курса.
Программа: курс включает в себя следующие блоки:
- Подготовительный этап (2 урока).
- Использование констант и переменных в веб-программировании (9 уроков).
- Операторы (8 уроков).
- Использование циклов (7 уроков).
- Хранение информации с помощью массивов (17 уроков).
- Как создавать собственные функции (9 уроков).
- Язык SQL (8 уроков).
- Работа с XML и файлами (4 урока).
- ООП для продвинутых (5 уроков).
Что узнаете:
- Как подготовить компьютер для проектирования в PHP.
- Какие виды переменных и постоянных используются при создании сайтов.
- Типы циклов.
- Что такое массивы и как их создавать.
- Как хранить данные и извлекать их.
Преимущества курса:
- Большое количество практических заданий.
- Индивидуальные проекты проверяют профессионалы
- Небольшая длительность видеоуроков.
Минусы: бесплатно можно посмотреть только первые 7 уроков.
Решение системы линейных уравнений с помощью обратной матрицы
Матрицей системы линейных уравнений называется таблица, составленная из коэффициентов при переменных. Так, для системы вида:

матрицей A является:
Столбцом свободных коэффициентов будем называть
а столбцом переменных —
Тогда систему уравнений можно переписать в виде:
Поясним, как происходит умножение матрицы на столбец. В матрице A есть строки: (а₁₁, а₁₂) и (а₂₁, а₂₂) а также столбцы (а₁₁, а₂₁) и (а₁₂, а₂₂).
При умножении матрицы на столбец X получается столбец, а само умножение происходит по следующему правилу:

Для нахождения обратной матрицы, которая обозначается как А⁻¹ , нам потребуется умение находить определитель матрицы, что подробно описано в разделе «Решение системы линейных уравнений по формулам Крамера», и умение находить транспонированную матрицу T. Для того чтобы записать матрицу, транспонированную к данной, нужно лишь поменять столбцы и строки местами. Например, для матрицы A транспонированной будет матрица:
Рассмотрим алгоритм поиска обратной матрицы:
1) вычислить определитель матрицы A:

2) записать матрицу миноров M. Для этого нужно просто переставить числа в матрице A следующим образом:

3) записать матрицу алгебраических дополнений А ͙. Для этого необходимо лишь поменять знаки коэффициентов а₁₂ и а₂₁ в матрице миноров M, в результате чего получим:

записать матрицу, транспонированную к матрице алгебраических дополнений:

найти обратную матрицу А⁻¹, разделив каждый элемент матрицы Аᵀ ͙ на значение определителя матрицы A, то есть
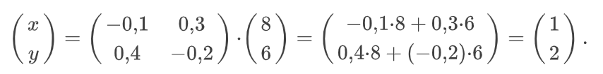
Для нахождения неизвестных нужно полученную обратную матрицу А⁻¹ умножить на столбец свободных коэффициентов:

Поясним всё на примере решения системы линейных уравнений с двумя переменными:
столбец свободных коэффициентов:
Следуя алгоритму решения СЛАУ, найдём обратную матрицу А⁻¹:
1) определитель матрицы A равен
2) матрица миноров:
3) матрица алгебраических дополнений:
4) матрица, транспонированная к матрице алгебраических дополнений:
5) обратная матрица:

Теперь умножим найденную обратную матрицу на столбец свободных коэффициентов:

Пара чисел (1;2) является решением данной системы уравнений.
«C# для продвинутых» от «Школы BEEGEEK»

Материал предназначен для пользователей, уже знакомых с C# на достаточно хорошем уровне. Этот курс поможет тебе систематизировать знания и подготовиться к собеседованию на роль junior-прогарммиста. На данный момент программа находится на стадии создания: каждую неделю выпускается новый модуль.
Цена: 7 990 рублей
Длительность: более 30 часов
Формат обучения: видеоуроки, тестовые и интерактивные задачи
Кому подходит:
- Пользователям, знающим основы программирования,
- Готовящимся к собеседованию на роль C#-программиста,
- Тем, кто хочет разобраться в ООП.
Ты научишься:
- Уверенному использованию C#,
- Написанию читаемого и эффективного кода,
- Прохождению собеседования на роль C#-программиста.
Плюсы
Есть сертификат о прохождении курса
Полноценный разбор работы с C# для продвинутых
Положительные отзывы о курсе
Минусы
Высокая стоимость курса
Требуются знания C#
На данный момент доступны не все модули
План курса
Программа обучения включает видео уроки по изучению PHP и MySQL с нуля. Благодаря интерактивным тестам и заданиям, Вы сможете закрепить полученные знания по Php программированию веб сайтов на практике.
развернуть все
свернуть все
1. Подготовка к работе. Установка PHP и настройка веб-сервера XAMPP
- 1.1 Установка и настройка XAMPP (PHP, MYSQL, APACHE)10:18
- 1.2 Настройка виртуального хоста (Virtual Host) в XAMPP (опционально)05:59
2. Переменные и константы
- 2.1 Переменные в PHP06:56
- 2.2 Тестирование00:15
- 2.3 Тестирование00:15
- 2.4 Интерактивное задание02:00
- 2.5 Интерактивное задание02:00
- 2.6 Типы переменных и константы03:02
- 2.7 Тестирование00:15
- 2.8 Тестирование00:15
- 2.9 Интерактивное задание03:00
3. Условные операторы и ветвления
- 3.1 Ветвления. Условные операторы if else06:33
- 3.2 Тестирование00:15
- 3.3 Интерактивное задание02:00
- 3.4 Тестирование01:00
- 3.5 Ветвления. Условные операторы. Switch07:41
- 3.6 Тестирование00:15
- 3.7 Тестирование00:15
- 3.8 Интерактивное задание02:00
4. Циклы
- 4.1 Циклы в PHP. Цикл while05:07
- 4.2 Тестирование00:30
- 4.3 Интерактивное задание01:00
-
4.4 Цикл DO WHILE02:40
-
4.5 Тестирование00:30
-
4.6 Цикл FOR01:42
-
4.7 Тестирование00:15
5. Массивы. Функции для работы с массивами
-
5.1 Массивы в PHP07:52
-
5.2 Интерактивное задание05:00
-
5.3 Массивы в PHP. Цикл Foreach04:38
-
5.4 Интерактивное задание03:00
-
5.5 Массивы. Способы создания массивов в языке PHP03:45
-
5.6 Тестирование00:15
-
5.7 Функции для работы с массивами06:50
-
5.8 Тестирование00:15
-
5.9 Тестирование00:15
-
5.10 Тестирование00:15
-
5.11 Интерактивное задание03:00
-
5.12 Интерактивное задание02:00
-
5.13 Функции implode и explode07:28
-
5.14 Интерактивное задание02:00
-
5.15 Тестирование00:15
-
5.16 Многомерные массивы в PHP08:16
-
5.17 Многомерные массивы. Способы создания03:46
6. Функции. Создание собственных функций
-
6.1 Получение данных из HTML формы. Методы GET и POST11:32
-
6.2 Тестирование00:15
-
6.3 Тестирование00:30
-
6.4 Функции для работы со строками. Защита формы сайта09:25
-
6.5 Тестирование00:15
-
6.6 Тестирование00:15
-
6.7 Создание собственных функций. Валидация функций07:37
-
6.8 Тестирование00:15
-
6.9 Функции. Взаимодействие функций между собой05:17
7. Язык SQL. Работа с базами данных. SQL запросы
-
7.1 MySQL и PHPMYADMIN. Начало работы09:57
-
7.2 Вывод данных из MySQL. Оператор SELECT14:39
-
7.3 Вставка данных в MySQL. Оператор INSERT05:04
-
7.4 Обновление данных в таблице MySQL. Оператор UPDATE02:43
-
7.5 Удаление данных из таблицы MySQL. Оператор DELETE05:52
-
7.6 Проектирование базы данных. Хранение данных в разных таблицах08:05
-
7.7 SQL запросы. INNER JOIN05:06
-
7.8 SQL запросы. LEFT JOIN и RIGHT JOIN04:37
8. Работа с XML и файлами
-
8.1 Работа с XML. Чтение XML и вывод в браузер в виде массива 07:43
-
8.2 Работа с XML. Создадим функцию для записи данных из XML в MySQL11:55
-
8.3 Работа с XML. Запишем данные из XML в базу16:36
-
8.4 Работа с файлами с помощью PHP16:16
9. Объектно-ориентированное программирование (ООП)
-
9.1 ООП. Классы, Геттеры и Сеттеры10:54
-
9.2 ООП. Инкапсуляция04:35
-
9.3 ООП. Наследование15:09
-
9.4 ООП. Полиморфизм. Интерфейсы07:35
-
9.5 ООП. Полиморфизм. Абстрактные классы16:19
Завершение курса — Получение Сертификата
Инкремент и декремент
Прежде, чем изучать циклы, следует познакомиться с часто используемым в языке C способом увеличения/уменьшения значений переменных на единицу. Конечно, в C работают такие формы изменения значений как, например, a += 1 или a -= 1. Однако чаще используют операции инкрементирования (оператор инкремента «++») и декрементирования (оператор декремента «—«): i++ или ++i, i— или —i. В результате этих операций переменные увеличиваются или уменьшаются на единицу.
Запомните, когда вы видите выражения типа ++i или i++, то в результате их выполнения значение i меняется. Не надо делать вот так: i = ++i. Это совершенно лишнее.
Когда знак инкремента или декремента стоит перед переменной, то перед нами префиксная форма операции (++i, —i), а когда после переменной, то постфиксная форма (i++, i—). Когда эти выражения не участвуют в построении более сложных выражений, то между префиксной и постфиксной формами никакой разницы нет: что i++, что ++i — без разницы, в результате мы получим значение i на единицу больше.
Однако когда эти выражения участвуют в построении более сложных, то разница между префиксной и постфиксной формами появляется и заключается в следующем: переменная над которой производится операция инкрементирования или декрементирования в постфиксной форме сначала используется в сложном выражении как есть, и только потом увеличивается на единицу; если мы имеем дело с префиксной формой, то переменная сначала изменяется, а затем используется. Например, код:
int a, b, c, d;
/* выражение означает, что всем
переменным присваивается 0 */
a = b = c = d = ;
printf("a=%d, b=%d, c=%d, d=%d\n",
a, b, c, d);
c = ++a;
d = b++;
printf("a=%d, b=%d, c=%d, d=%d\n",
a, b, c, d);
, выведет на экране:
a=0, b=0, c=0, d=0 a=1, b=1, c=1, d=0
Объясняется такой результат так:
-
значение переменной a было увеличено на единицу, после чего это значение было присвоено переменной c;
-
значение переменной b было сначала присвоено переменной d и только потом увеличено на единицу.
Еще один пример:
int x, y;
x = y = ;
printf("%d\n", x++ > );
printf("%d\n", ++y > );
На экране будет выведено:
0 1
Это результат логических выражений, где 0 означает ложь, а 1 — истину. В данном случае, когда x сравнивается с нулем, то его значение еще не увеличено, а когда сравнивается у, то его значение уже больше нуля.
Применять операторы инкремента и декремента можно также к переменным вещественного типа.
«1С Бухгалтерия 8.3 — понятный самоучитель для начинающих» от «Школы 1С»
Пройти курс
Продолжительность: 41 урок. Максимальная длительность урока — 12 минут.
Формат обучения: видеоуроки. Смотреть их можно в любое удобное время.
В роликах зрителям объясняют, как:
- оприходовать товары, материалы на склад, списывать в производство или розницу;
- начислять зарплату, отпускные, компенсации за неиспользованный отпуск, больничные;
- оформлять отгрузку товаров, выписывать счета-фактуры, в том числе на авансовый платёж;
- создавать платёжные поручения, обрабатывать банковские выписки;
- ставить на учёт основные средства, начислять амортизацию;
- списывать канцтовары, ГСМ;
- вести учёт расходов будущих периодов.
- подробное изложение с демонстрацией каждой операции;
- упор сделан на практическое использование 1С.
- отсутствие возможности уточнить непонятные моменты — обратная связь с лектором отсутствует;
- материал относится к 2018 году — информация не обновляется.
Решение системы линейных уравнений методом почленного сложения (вычитания) уравнений системы
Суть данного метода состоит в избавлении от одной из переменных в системе уравнений, алгоритм метода достаточно простой:
- все уравнения системы почленно умножаются на такое число, чтобы коэффициенты при одной из переменных стали противоположными числами (если коэффициенты при одной из переменных уже являются противоположными числами, то сразу можно переходить к пункту 2);
- правая и левая части каждого уравнения почленно складываются, получается уравнение с одной переменной;
- полученное уравнение решается относительно единственной переменной;
- значение найденной переменной подставляется в одно из исходных уравнений системы, далее определяется значение второй переменной.
В качестве примера решим систему уравнений:
методом почленного сложения (вычитания). Здесь будет достаточно просто «избавиться» от переменной y. Для этого почленно умножим обе части первого уравнения системы на 2:
получим равносильную систему уравнений:
Теперь прибавим к левой части первого уравнения левую часть второго уравнения, а к правой части первого уравнения — правую часть второго. В итоге получим уравнение вида:
Решим это уравнение относительно единственной переменной:
Подставим найденное значение в первое уравнение исходной системы и найдём значение y:
Итак, пара чисел (4;3) является решением системы линейных уравнений с двумя переменными. Данное решение было получено методом сложения.
Цикл for
Представим синтаксис заголовка цикла for языка программирования C так:
for (часть1; часть2; часть3)
Заголовок цикла for включает три части, разделенных точкой с запятой; причем каждая часть может быть сложной, т. е. состоять из нескольких выражений, разделенных простой запятой. В первой части обычно указываются переменные и часто их начальные значения; во второй – с помощью логического(их) выражения(й) задаются условия, при которых выполняется тело цикла; в третью часть помещаются выражения, которые выполняются в конце каждой итерации цикла (чаще всего здесь изменяется значение переменной, заданной в первой части заголовка).
Вот так будет выглядеть программный код, выводящий таблицу символов на экран, в котором используется цикл for:
unsigned char a;
for (a = 31; a < 128; a++) {
if (a % 10 == )
printf("\n");
printf("%4d-%c", a, a);
}
printf("\n");
Напишите программу с использованием цикла for, выводящую на экран таблицу умножения (Подсказка: как и в случае с while следует использовать два цикла — внешний и вложенный.)
«C#. Викторина «Угадай мелодию» от GeekBrains

Длительность: 15 уроков.
Формат обучения: видеолекции и практические задания.
Программа обучения: изучение технологии Windows Forms для написания программ средней сложности на языке C#. Он рекомендован новичкам и программистам с небольшим опытом. Практическая часть программы включает самостоятельное написание викторины «Угадай мелодию».
Какие навыки получите:
- Работа с элементами Windows Forms.
- Музыкальное оформление программы.
- Использование реестра Windows в качестве хранилища настроек программы.
- Подключение геймпада для управления игрой.
Плюсы:
- Изучение материала в удобное время.
- Информативные уроки.
- Изложение материала в понятной форме.
- Можно набивать руку на практических заданиях.
- Обратная связь от преподавателя.
- Сертификат за успешное окончание курса.
Минусы:
«Курс обучения 1С для начинающих» от 1C-UROKI.RU
Продолжительность: 9 занятий по 9-25 минут.
Формат обучения: в пределах каждого занятия собрана текстовая информация и практическая демонстрация. Тесты, семинары, видеоконференции не проводятся. Просматривать данные может любой желающий без регистрации на сайте. Программа рассчитана на разработчиков 1С.
Курс позволяет:
- ознакомиться с режимами запуска программы;
- узнать, что такое «Документ» и его табличная часть;
- поработать с регистрами накопления (остатков, оборотов);
- ознакомиться со встроенным языком программирования 1С;
- создать форму напоминания;
- сформировать форму отчёта;
- ознакомиться с языком запросов.
Решение системы линейных уравнений по формулам Крамера
Чтобы решить систему линейных уравнений методом Крамера, нужно познакомиться с понятием определителя.
Определение
Определителем системы называют запись чисел в квадратной таблице, в соответствие которой ставится число по некоторому правилу.
Давайте познакомимся с этим правилом. Пусть даны четыре числа a, b, c, d. Пусть они имеют следующее расположение в квадратной таблице:
Значение определителя системы в этом случае находится по формуле:
Определитель, составленный из коэффициентов при переменных в линейной системе уравнений, называется главным определителем системы. Будем обозначать его Δ. Например, у рассмотренной выше системы уравнений:
главный определитель будет иметь вид:
Найдём его значение:

Для решения системы линейных уравнений методом Крамера нам понадобятся ещё два определителя, которые называются вспомогательными:

Отметим, что в данные определители уже входят правые части каждого уравнения системы. Так, в определитель Δₓ первым столбцом записываем правые части уравнений (так называемые свободные члены уравнений), второй столбец оставляем таким же, как в главном определителе системы. В определитель Δу вторым столбцом записываем правые части уравнений, а первый столбец оставляем таким же, как в главном определителе системы.
Итак, формулы Крамера для решения системы двух линейных уравнений с двумя переменными:
Отметим, что данный метод решения СЛАУ можно применять лишь в тех случаях, когда Δ ≠ 0.
Убедимся в том, что данные формулы работают, подставив в них ранее найденные значения определителей:

Пара чисел (4;3) действительно является решением данной системы уравнений.
Обобщим алгоритм нахождения решений системы двух линейных уравнений с двумя переменными методом Крамера. Пусть дана система линейных уравнений:

Нужно:
- Вычислить главный определитель системы

- Вычислить вспомогательные определители

Цикл while
Цикл while в языке программирования C работает также как и в других языках программирования. По аналогии с условным выражением в инструкции if, условное выражение при while заключается в круглые скобки. Если тело цикла включает несколько выражений разделяемых точкой с запятой, то все тело заключается в фигурные скобки.
-
Присвойте переменной star значение 0. Пока значение star не достигнет 55 выводите на экран в строку по одной звездочке (*).
-
С помощью цикла запрограммируйте вывод на экран цифровых кодов и значений таблицы символов ASCII от 31 до 127 включительно. При этом после каждого десятого символа осуществляйте переход на новую строку. (Подсказка: чтобы переходить на новую строку, в цикле надо использовать инструкцию , в условии которой остаток1 от деления на 10 сравнивается с нулем.)
-
Используя внешний и вложенный циклы организуйте вывод таблицы умножения на экран.
1 Операция нахождения остатка от деления в языке C обозначается знаком процента (%).









![17 бесплатных курсов по 1с [2021] для начинающих с нуля](http://myeditor.ru/wp-content/uploads/e/5/4/e54580b0b0fb6cf5b9b1ddc8e58df7cb.jpeg)



![Топ-20 бесплатных курсов по c# [2021] для начинающих разработчиков](http://myeditor.ru/wp-content/uploads/2/5/a/25a655b961a94dc2f523d2951f7902e8.jpeg)
![30 бесплатных курсов по java [2021] для начинающих с нуля](http://myeditor.ru/wp-content/uploads/a/1/2/a12c8c0e4cc5d9293c503a693890dc02.png)












